これらの技術の導入にご興味のある方は、開放特許データベースに記載されている「商談希望」よりお問い合わせ下さい。
特許第7572335号 接触角の測定方法
従来技術では困難であった各種材料内部における接触角測定が可能となりました。さらに、材料内部に限定されることはなく、材料表面や曲面においても接触角を測定することができます。
POINT
- 微小領域、凹凸形状部、多孔質構造材料などの複雑な形状を有する試料内部のぬれ性評価が可能
- 接触角は、任意の箇所、任意の方向で測定可能
- 液滴の蒸発を抑制し、X線CT装置により高速で撮像
試料内部の接触角測定
不織布マスク繊維
試料内部に水滴を付与
液滴状に付着した水滴の接触角を計測
不均一な状態の試料表面、微細管の内壁、曲面の接触角測定
部分親水化処理した繊維
表面状態が不均一で部分的に濡れ性が異なる
1本の繊維でも、液滴付着箇所毎に測定が可能

(a) 水滴を付与(青:水)
(b) 親水領域の水滴の接触角測定
(c) 未処理領域の水滴の接触角測定
ボールペンインクチューブの内壁

毛髪表面(曲面表面)

特許第7360807号 疲労状態の検出を補助する方法
生体から採取された血液試料中のD体アミノ酸及びL体アミノ酸を定量し、疲労の指標として客観的データが取得できます。
POINT
- 血液試料中のD体アミノ酸を定量し、定量されたD体アミノ酸の濃度を指標として疲労状態を検出します。
- 血液試料中D体アミノ酸の疲労群と正常群の濃度比(疲労群/正常群)で、疲労の指標とします。
- 血液試料中のD体アミノ酸及びL体アミノ酸を定量し、定量された各D体アミノ酸の濃度と、該各D体アミノ酸と同種の各L体アミノ酸の濃度との比(D体/L体)を指標とします。
疲労群/正常群

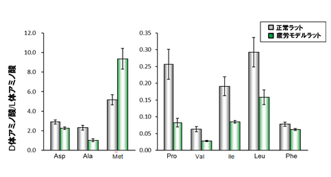
- D体アミノ酸濃度の疲労群/正常群は、アルギニン(Arg)、セリン(Ser)、スレオニン(Thr)、アラニン(Ala)、プロリン(Pro)、バリン(Val)、イソロイシン(Ile)で、有意に低くなった。
- D体アミノ酸濃度の疲労群/正常群は、メチオニン(Met)で、有意に高くなった。
D体濃度/L体濃度

- D体アミノ酸濃度/L体アミノ酸濃度は、アスパラギン酸(Asp)、アラニン(Ala)、プロリン(Pro)、バリン(Val)、イソロイシン(Ile)、ロイシン(Leu)、フェニルアラニン(Phe)で、疲労群は正常群より有意に低くなった。
- D体アミノ酸濃度/L体アミノ酸濃度は、メチオニン(Met)で、疲労群は正常群より有意に高くなった。
特許第7141608号 高速カロリメトリーを用いた熱硬化性樹脂のガラス転移温度の測定方法
本発明により熱硬化樹脂の硬化進行に伴うガラス転移温度上昇を硬化初期から後期までを詳細に追跡が可能です。
これにより、熱硬化樹脂の硬化機能の詳細な解析が可能となり、硬化条件の最適化や材料スクリーニングに活用できます。
POINT
- 等温、または、加熱、冷却、または、それらを組み合わせた高速カロリメトリーを用いた熱硬化樹脂のガラス転移温度の測定方法です。
- 高速カロリメトリーを用いる事で、少量の試料で高速の昇温が可能です。
- 測定プロファイルにより熱硬化樹脂の硬化反応を制御することが可能となります。
従来の示差走査型熱量計法(DSC)測定した場合には、試料片間の硬化進行の変動や、試料組成のムラ、測定間の変動等を反映し、正確なガラス転移温度を捉えることが困難でした。本技術(FSC)により、同一試料で、ガラス転移温度(Tg)の追跡が可能です。
【実施例】 FSCにより、エポキシ樹脂の硬化条件の最適化や材料スクリーニングができる
エポキシ樹脂の例:本技術による測定で、高温ほど硬化の進行が早い事が分かります。
硬化条件の最適化検討例:高速カロリメトリー内で硬化反応を自在に制御することで、希望の熱処理プロセス中のTg変化の追跡が可能です。
関連技術情報:https://www.toray-research.co.jp/service/trcnews/201807.html
The TRC News 「高速カロリメトリー(FSC)による高分子の結晶化挙動解析」
特許第6974810号 マイクロ分光分析用試料台の作製方法
本方法により、微量な希薄溶液の溶質について赤外分光分析を行ったとき、良好なFT-IRスペクトルが得られます。本発明により、微量成分の分析で重要な、希薄溶液をコンタミなく効率よく微小スポットに濃縮することが可能となります。
POINT
- 撥水面の一部に非撥水部分を設け、その部分で濃縮物の厚みを抑制する。
- その非撥水部分をイオンエッチング、ケミカルエッチングで加工する技術。
① 濃縮プレートの一部分をイオンエッチング
撥水面の一部分をエッチング
② 試料溶液(数 μL)をプレートへ滴下
溶液をエッチングに向け滴下
液状溶質はエッチング部で拡がった状態で濃縮
【実施例】 FT-IR測定(透過法、分解能:8 cm-1 、積算256回)
本発明技術:分解能が高いノイズが少ない、非常に良質なIRスペクトルが得られる。
比較技術:非撥水部が無いプレート使用。ピークの飽和やノイズがみられる。
特許第6519444号 マイクロ分光分析用試料台の作製方法
本方法により、分析試料量が少量であっても、多い試料で測定されたFT-IRスペクトルとほとんど同じ良好な結果が得られます。
本発明により、微量成分の分析で重要な、希薄溶液をコンタミなく効率よく微小スポットに濃縮することが可能となります。
POINT
- 撥水面の一部に非撥水部分を設け、その部分で濃縮物の厚みを抑制する。
- その非撥水部分を機械的に削って加工する技術。
① 濃濃縮プレートの一部分を機械的に削り、非撥水部を作成
撥水面の一部分を機械的に削る
② 試料溶液(数 μL)をプレートへ滴下
溶液を削った溝の非撥水部に向け滴下
液状溶質は非撥水部で濃縮
【実施例】 FT-IR測定(透過法)
試料が微量であっても、本技術のプレート使用で良好なIRスペクトルが得られる。
本発明技術:大豆油1μgを本発明の濃縮プレートを使用し測定
比較技術:大豆油100μgをダイヤモンド板を使用し測定
特許第6803567号 シラノール基密度を算出する方法
本発明により、シランカップリング剤と実際の反応に関与するシラノール基の密度を算出することが可能であり、無機材料や複合材等の材料分野、及び、化学分析分野で有効に利用できます。
POINT
- シランカップリング剤と反応可能なシラノール基の相対量ではなく絶対量を算出します。
- 大気と完全に隔離した実験系を用いた厳密な水分除去、及び、温湿度管理下でのpH調整等といった煩雑な操作を伴わずに、シラノール基密度を測定できます。
【実施例】固体29Si NMRで、結合したシラン処理剤、シリカの各ケイ素構造の量比を求め,シラノール基密度を算出
【実施例】シリコンウエハの自然酸化膜上のシラノール基密度の測定
関連技術情報:https://www.toray-research.co.jp/service/trcnews/2019/1909_01.html
The TRC News 「シリカ表面のシラノール基の定量」